Featured
- Get link
- X
- Other Apps
Projection Of Vectors Calculator
Projection Of Vectors Calculator. Find the projection of vector a = {1; Type the coordinates of the vectors;

How to use the vector projection calculator? Calculate dot product of these vectors: Vector calculator this calculator performs all vector operations in two and three dimensional space.
Compute Answers Using Wolfram's Breakthrough Technology & Knowledgebase, Relied On By Millions Of Students & Professionals.
Move the points a and b to choose your vectors. Given vector a = [a 1, a 2, a 3] and vector b = [b 1, b 2, b 3 ], we can say that the two vectors are orthogonal if their dot product is equal to zero. Projection of vectors calculator steps:
⇒ Ol = Cos Θ.
A little bit complicated to calculate the projection of the abritrary vector to the arbitrary axis or arbitraty vector. Click on show projection to see the projected vector of a onto b using both algebraic and geometric methods. It can find the time of flight, but also the components of velocity, the range of.
0} On Vector B = {4;
Also, vector projection is given. How to use the vector projection calculator? Since we have the scalar projection, we already have everything we need to find the vector projection.
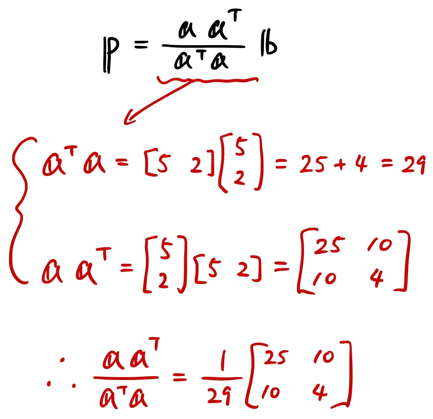
You Can Easily Determine The Projection Of A Vector By Using The Following Formula:
The scalar projection of a vector a on b is given by: How to add vectors given as below: If the vector veca is projected on vecb then vector projection formula is given below:
The Vector Calculator (3D) Computes Vector Functions (E.g.
Please follow the steps below on how to use the calculator: →u u → and →v v → are. Enter the coefficients of two vectors in the given input boxes.
Comments
Post a Comment