Featured
- Get link
- X
- Other Apps
Find Maclaurin Series Calculator
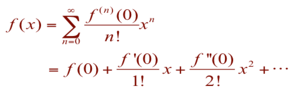
Find Maclaurin Series Calculator. To find the maclaurin series of functions, follow the below steps. For any function f (x) the maclaurin series is given by f (x)=∑ k=0∞ f (k) (a)* x k / k!

Steps the calculator is used as follows: The center point is fixed by default. Now click the button “calculate” to get the result step 3:.
For Any Function F (X) The Maclaurin Series Is Given By F (X)=∑ K=0∞ F (K) (A)* X K / K!
Find f (k) (a) by calculating the. Now that we know the general form of the maclaurin series, we can try writing the maclaurin series of different functions. To expand any function, follow the below steps.
Enter The Complete Equation/Value In The Input Box I.e.
Take any function and its range to solve the maclaurin series. We’ll start by creating the chart we’ve always made for taylor polynomials. The procedure to use the maclaurin series calculator is as follows:
X2 + F ′′′(0) 3!
Enter the function into the input. I.e., the maclaurin series formula is obtained by substituting a = 0 in the above formula. This is a very simple tool for maclaurin series calculator.
Maclaurin Series Is Nothing But The Taylor Series When A = 0.
To find the maclaurin series of functions, follow the below steps. Maclaurin series calculator maclaurin series of f(x) = about x = up to order = calculate computing. The formula used by taylor series formula calculator for calculating a series for a function is given as:
Enter Two Functions In The Respective Input Field Step 2:
Now click the button “calculate” to get the result. Steps the calculator is used as follows: Get this widget build your own widget »browse widget gallery »learn more.
Comments
Post a Comment